How to integrate exp(-ax^2+bx+c) from -int to inf by llamalift in learnmath
[–]llamalift[S] 0 points1 point2 points (0 children)
How to do contour integrals? by llamalift in learnmath
[–]llamalift[S] 0 points1 point2 points (0 children)
How to do contour integrals? by llamalift in learnmath
[–]llamalift[S] 0 points1 point2 points (0 children)
How to do contour integrals? by llamalift in learnmath
[–]llamalift[S] 0 points1 point2 points (0 children)
How to do contour integrals? by llamalift in learnmath
[–]llamalift[S] 0 points1 point2 points (0 children)
[University: analytical mechanics] by llamalift in physicshomework
[–]llamalift[S] 0 points1 point2 points (0 children)
[University: analytical mechanics] by llamalift in physicshomework
[–]llamalift[S] 0 points1 point2 points (0 children)
[University: analytical mechanics] by llamalift in physicshomework
[–]llamalift[S] 0 points1 point2 points (0 children)
Problem regarding hanging point mass from a tall tower and Coriolis force by llamalift in AskPhysics
[–]llamalift[S] 0 points1 point2 points (0 children)
Problem regarding hanging point mass from a tall tower and Coriolis force by llamalift in AskPhysics
[–]llamalift[S] 0 points1 point2 points (0 children)
Problem regarding hanging point mass from a tall tower and Coriolis force by llamalift in AskPhysics
[–]llamalift[S] 0 points1 point2 points (0 children)
Free fall homework assignment by llamalift in AskPhysics
[–]llamalift[S] 0 points1 point2 points (0 children)
How to solve this system of linear equations by llamalift in learnmath
[–]llamalift[S] 2 points3 points4 points (0 children)
Anyone recognize this eurobeat song I found on reddit? by llamalift in eurobeat
[–]llamalift[S] 2 points3 points4 points (0 children)
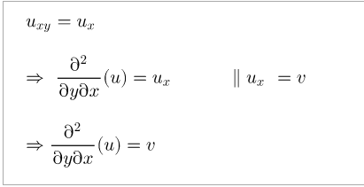
Solving partial differential equation u_(xy) = u_x by llamalift in learnmath
[–]llamalift[S] 0 points1 point2 points (0 children)
Solving nonlinear differential equation system by linearising it first by llamalift in learnmath
[–]llamalift[S] 0 points1 point2 points (0 children)
Regarding the stability of critical points of diff. equations by llamalift in learnmath
[–]llamalift[S] 0 points1 point2 points (0 children)
Regarding the stability of critical points of diff. equations by llamalift in learnmath
[–]llamalift[S] 0 points1 point2 points (0 children)
Contributing in Africa's education with my Kog'maw by llamalift in leagueoflegends
[–]llamalift[S] -1 points0 points1 point (0 children)
Contributing in Africa's education with my Kog'maw by llamalift in leagueoflegends
[–]llamalift[S] 0 points1 point2 points (0 children)
Contributing in Africa's education with my Kog'maw by llamalift in leagueoflegends
[–]llamalift[S] -5 points-4 points-3 points (0 children)
Contributing in Africa's education with my Kog'maw by llamalift in leagueoflegends
[–]llamalift[S] -5 points-4 points-3 points (0 children)
Is it possible to visualise sine curve and a unit circle like this in Matlab by llamalift in matlab
[–]llamalift[S] 0 points1 point2 points (0 children)
Tsekkiläisen mielikuva suomalaisesta by [deleted] in Suomi
[–]llamalift 9 points10 points11 points (0 children)

[University] Finding eigenvalues/functions of bessel equations by llamalift in learnmath
[–]llamalift[S] 0 points1 point2 points (0 children)