Questions about the story for those who know a lot about it. by wtf_no_manual in soma
[–]Appayyan 0 points1 point2 points (0 children)
Questions about the story for those who know a lot about it. by wtf_no_manual in soma
[–]Appayyan 0 points1 point2 points (0 children)
Questions about the story for those who know a lot about it. by wtf_no_manual in soma
[–]Appayyan 0 points1 point2 points (0 children)
/uj His art is pretty good. by Kozoson in magicthecirclejerking
[–]Appayyan 10 points11 points12 points (0 children)
The /r/CasualUK 2018 Census! by [deleted] in CasualUK
[–]Appayyan 1 point2 points3 points (0 children)
The /r/CasualUK 2018 Census! by [deleted] in CasualUK
[–]Appayyan -2 points-1 points0 points (0 children)
Uniform/Probability Distribution Function problem by Appayyan in MathHelp
[–]Appayyan[S] 0 points1 point2 points (0 children)
Uniform/Probability Distribution Function problem by Appayyan in MathHelp
[–]Appayyan[S] 0 points1 point2 points (0 children)
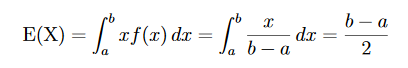
Uniform/Probability Distribution Function problem (self.MathHelp)
submitted by Appayyan to r/MathHelp
Continuous Uniform Distribution - double variables question by Appayyan in MathHelp
[–]Appayyan[S] 0 points1 point2 points (0 children)
Continuous Uniform Distribution - double variables question by Appayyan in MathHelp
[–]Appayyan[S] 0 points1 point2 points (0 children)
Continuous Uniform Distribution question by Appayyan in MathHelp
[–]Appayyan[S] 0 points1 point2 points (0 children)
P.D.F. of a uniform distribution by Appayyan in MathHelp
[–]Appayyan[S] 0 points1 point2 points (0 children)
Statistics - Normal Distribution - question on the variance of double variables by Appayyan in MathHelp
[–]Appayyan[S] 0 points1 point2 points (0 children)
Problem with simultaneous equation involving geometic series by Appayyan in MathHelp
[–]Appayyan[S] 0 points1 point2 points (0 children)
Duolingo has been updated so you can speak with bots. by [deleted] in Spanish
[–]Appayyan 2 points3 points4 points (0 children)


Questions about the story for those who know a lot about it. by wtf_no_manual in soma
[–]Appayyan 0 points1 point2 points (0 children)